Recent GOALS Science Highlights
GOALS-JWST: Constraining the Emergence Timescale for Massive Star Clusters in NGC 3256
Linden, S., et al. 2024, ApJ, 974, L27
We present the results of a James Webb Space Telescope NIRCam and NIRSpec investigation into the young massive star cluster (YMC) population of NGC 3256, the most cluster-rich luminous infrared galaxy in the Great Observatories All Sky LIRG Survey. We detect 3061 compact YMC candidates with a signal-to-noise ratio ≥3 at F150W, F200W, and F335M. Based on yggdrasil stellar population models, we identify 116/3061 sources with F150W – F200W > 0.47 and F200W – F355M > −1.37 colors, suggesting that they are young (t ≤ 5 Myr), dusty (AV = 5−15 mag), and massive (M⊙ > 105). This increases the sample of dust-enshrouded YMCs detected in this system by an order of magnitude relative to previous Hubble Space Telescope studies. With NIRSpec integral field unit pointings centered on the northern and southern nucleus, we extract the Paα and 3.3 μm polycyclic aromatic hydrocarbon (PAH) equivalent widths for eight bright and isolated YMCs. Variations in both the F200W – F335M color and 3.3 μm PAH emission with the Paα line strength suggest a rapid dust clearing (< 3−4 Myr) for the emerging YMCs in the nuclei of NGC 3256. Finally, with both the age and dust emission accurately measured, we use yggdrasil to derive the color excess for all eight YMCs. We demonstrate that YMCs with strong 3.3 μm PAH emission (F200W – F335M > 0) correspond to sources with E(B − V) > 3, which are typically missed in UV-optical studies. This underscores the importance of deep near-infrared imaging for finding and characterizing these very young and dust-embedded sources.
GOALS-JWST: Mid-Infrared Molecular Gas Excitation Probes the Local Conditions of Nuclear Star Clusters and the AGN in the LIRG VV 114
Buiten, V., et al. 2024, ApJ, 966, 166
The enormous increase in mid-IR sensitivity and spatial and spectral resolution provided by the JWST spectrographs enables, for the first time, detailed extragalactic studies of molecular vibrational bands. This opens an entirely new window for the study of the molecular interstellar medium in luminous infrared galaxies (LIRGs). We present a detailed analysis of rovibrational bands of gas- phase CO, H2O, C2H2 and HCN towards the heavily-obscured eastern nucleus of the LIRG VV114, as observed by NIRSpec and MIRI MRS. Spectra extracted from apertures of 130pc in radius show a clear dichotomy between the obscured AGN and two intense starburst regions. We detect the 2.3 μm CO bandheads, characteristic of cool stellar atmospheres, in the star-forming regions, but not towards the AGN. Surprisingly, at 4.7 μm we find highly-excited CO (T(ex) ≈ 700 − 800 K out to at least rotational level J = 27) towards the star-forming regions, but only cooler gas (T(ex) ≈ 200 K) towards the AGN. We conclude that only mid-infrared pumping through the rovibrational lines can account for the equilibrium conditions found for CO and H2O in the deeply-embedded starbursts. Here the CO bands probe regions with an intense local radiation field inside dusty young massive star clusters or near the most massive young stars. The lack of high-excitation molecular gas towards the AGN is attributed to geometric dilution of the intense radiation from the bright point source.
GOALS-JWST: Gas Dynamics and Excitation in NGC7469 revealed by NIRSpec
Bianchin, M., et al. 2024, ApJ, 965, 103
We present new JWST-NIRSpec IFS data for the luminous infrared galaxy NGC7469: a nearby (70.6 Mpc) active galaxy with a Sy 1.5 nucleus that drives a highly ionized gas outflow and a promi- nent nuclear star-forming ring. Using the superb sensitivity and high spatial resolution of the JWST instrument NIRSpec-IFS, we investigate the role of the Seyfert nucleus in the excitation and dynamics of the circumnuclear gas. Our analysis focuses on the [Fe ii], H2, and hydrogen recombination lines that trace the radiation/shocked-excited molecular and ionized ISM around the AGN. We investigate the gas excitation through H2/Brγ and [Fe ii]/Paβ emission line ratios and find that photoionization by the AGN dominates within the central 300 pc of the galaxy except in a small region that shows sig- natures of shock-heated gas; these shock-heated regions are likely associated with a compact radio jet. In addition, the velocity field and velocity dispersion maps reveal complex gas kinematics. Rotation is the dominant feature, but we also identify non-circular motions consistent with gas inflows as traced by the velocity residuals and the spiral pattern in the Paα velocity dispersion map. The inflow is two orders of magnitude higher than the AGN accretion rate. The compact nuclear radio jet has enough power to drive the highly ionized outflow. This scenario suggests that the inflow and outflow are in a self-regulating feeding-feedback process, with a contribution from the radio jet helping to drive the outflow.
GOALS-JWST: Small Neutral Grains and Enhanced 3.3 μm PAH Emission in the Seyfert Galaxy NGC 7469
Lai, T., et al. 2023, ApJL, 957, L26
We present James Webb Space Telescope (JWST) Near Infrared Spectrograph (NIRSpec) integral field spectroscopy of the nearby luminous infrared galaxy NGC 7469. We take advantage of the high spatial/spectral resolution and wavelength coverage of JWST/NIRSpec to study the 3.3μm neutral polycyclic aromatic hydrocarbon (PAH) grain emission on ∼200 pc scales. A clear change in the average grain properties between the star-forming ring and the central AGN is found. Regions in the vicinity of the AGN, with [Ne III]/[Ne II] > 0.25, tend to have larger grain sizes and lower aliphatic-to-aromatic (3.4/3.3) ratios, indicating that smaller grains are preferentially removed by photodestruction in the vicinity of the AGN. PAH emission at the nucleus is weak and shows a low 11.3/3.3 PAH ratio. We find an overall suppression of the total PAH emission relative to the ionized gas in the central 1 kpc region of the AGN in NGC 7469 compared to what has been observed with Spitzer on 3 kpc scales. However, the fractional 3.3 to total PAH power is enhanced in the starburst ring, possibly due to a variety of physical effects on sub-kiloparsec scales, including recurrent fluorescence of small grains or multiple photon absorption by large grains. Finally, the IFU data show that while the 3.3 μm PAH-derived star formation rate (SFR) in the ring is 27% higher than that inferred from the [Ne II] and [Ne III] emission lines, the integrated SFR derived from the 3.3 μm feature would be underestimated by a factor of 2 due to the deficit of PAHs around the AGN, as might occur if a composite system like NGC 7469 were to be observed at high redshift.
GOALS-JWST: Pulling Back the Curtain on the AGN and Star Formation in VV 114
Rich, J., et al. 2023 ApJL, 944, L50.
We present results from the James Webb Space Telescope Director’s Discretionary Time Early Release Science program 1328 targeting the nearby, luminous infrared galaxy, VV 114. We use the MIRI and NIRSpec instruments to obtain integral-field spectroscopy of the heavily obscured eastern nucleus (V114E) and surrounding regions. The spatially resolved, high-resolution spectra reveal the physical conditions in the gas and dust over a projected area of 2–3 kpc that includes the two brightest IR sources, the NE and SW cores. Our observations show for the first time spectroscopic evidence that the SW core hosts an active galactic nucleus as evidenced by its very low 6.2 μm and 3.3 μm polycyclic aromatic hydrocarbon equivalent widths (0.12 and 0.017 μm, respectively) and mid- and near- IR colors. Our observations of the NE core show signs of deeply embedded star formation including absorption features due to aliphatic hydrocarbons, large quantities of amorphous silicates, as well as HCN due to cool gas along the line of sight. We detect elevated [Fe II]/Pfα consistent with extended shocks coincident with enhanced emission from warm H2, far from the IR-bright cores and clumps. We also identify broadening and multiple kinematic components in both H2 and fine structure lines caused by outflows and previously identified tidal features.
GOALS-JWST: Revealing the Buried Star Clusters in the Luminous Infrared Galaxy VV 114
Linden, S., et al. 2023 ApJL, 944, L55.
We present the results of a James Webb Space Telescope NIRCam investigation into the young massive star cluster(YMC) population in the luminous infrared galaxy VV 114. We identify 374 compact YMC candidates in the F150W, F200W, and F356 filters. A direct comparison with our HST cluster catalog reveals that ∼20% of these sources are undetected at optical wavelengths. Based on yggdrasil stellar population models, we identify 17 YMC candidates in our JWST imaging alone with F150W – F200W and F200W – F356W colors suggesting they are all very young, dusty (A_V = 5–15 mag), and massive (10^5.8 < Msun < 10^6.1). The discovery of these “hidden” sources, many of which are found in the overlap region between the two nuclei, quadruples the number of t < 3 Myr clusters and nearly doubles the number of t < 6 Myr clusters detected in VV 114. Now extending the cluster age distribution to the youngest ages,we find a slope of γ=−1.30±0.39 for 10^6 < τ(yr) <10^7 ,which is consistent with the previously determined value from 10^7 < τ(yr) < 10^8.5, and confirms that VV 114 has a steep age distribution slope for all massive star clusters across the entire range of cluster ages observed. Finally, the consistency between our JWST- and HST-derived age distribution slopes indicates that the balance between cluster formation and destruction has not been significantly altered in VV 114 over the last 0.5 Gyr.
GOALS-JWST: Mid-infrared Spectroscopy of the Nucleus of NGC 7469
Armus, L., et al. 2023 ApJL, 942, L37.
We present mid-infrared spectroscopic observations of the nucleus of the nearby Seyfert galaxy NGC 7469 taken with the MIRI instrument on the James Webb Space Telescope (JWST) as part of Directors Discretionary Time Early Release Science program 1328. The high-resolution nuclear spectrum contains 19 emission lines covering a wide range of ionization. The high-ionization lines show broad, blueshifted emission reaching velocities up to 1700 km/s and FWHM ranging from ~500 to 1100 km/s. The width of the broad emission and the broad-to-narrow line flux ratios correlate with ionization potential. The results suggest a decelerating, stratified, AGN-driven outflow emerging from the nucleus. The estimated mass outflow rate is 1-2 orders of magnitude larger than the current black hole accretion rate needed to power the AGN. Eight pure rotational H2 emission lines are detected with an estimated total mass of warm H2 of ~1.2E7 solar masses in the central 100 pc. The PAH features are extremely weak in the nuclear spectrum, but a 6.2 μm PAH feature with an equivalent width of ~0.07 microns is detected. The spectrum is steeply rising in the mid-infrared, with a silicate strength of ~0.02, significantly smaller than seen in most PG QSOs but comparable to other Seyfert 1s. These early MIRI mid-infrared IFU data highlight the power of JWST to probe the multiphase interstellar media surrounding actively accreting supermassive black holes
GOALS-JWST: Tracing AGN Feedback on the Star-forming Interstellar Medium in NGC 7469
Lai, T., et al. 2022 ApJL, 941, L36.
We present James Webb Space Telescope (JWST) Mid-Infrared Instrument (MIRI) integral-field spectroscopy of the nearby merging, luminous infrared galaxy, NGC 7469. This galaxy hosts a Seyfert type 1.5 nucleus, a highly ionized outflow, and a bright, circumnuclear star-forming ring, making it an ideal target to study active galactic nucleus (AGN) feedback in the local universe. We take advantage of the high spatial/spectral resolution of JWST/MIRI to isolate the star-forming regions surrounding the central active nucleus and study the properties of the dust and warm molecular gas on ~100 pc scales. The starburst ring exhibits prominent polycyclic aromatic hydrocarbon (PAH) emission, with grain sizes and ionization states varying by only ~30%, and a total star formation rate of 10-30 Solar masses per year derived from fine structure and recombination emission lines. Using pure rotational lines of H2 we detect 1.2 × 107 Solar masses of warm molecular gas at a temperature higher than 200 K in the ring. All PAH bands get significantly weaker toward the central source, where larger and possibly more ionized grains dominate the emission, likely the result of the ionizing radiation and/or the fast wind emerging from the AGN. The small grains and warm molecular gas in the bright regions of the ring however display properties consistent with normal star-forming regions. These observations highlight the power of JWST to probe the inner regions of dusty, rapidly evolving galaxies for signatures of feedback and inform models that seek to explain the coevolution of supermassive black holes and their hosts.
GOALS-JWST: Resolving the Circum-nuclear Gas Dynamics in NGC 7469 in the Mid-infrared
U, V., et al. 2022 ApJL, 940, L5.
The nearby, luminous infrared galaxy NGC 7469 hosts a Seyfert nucleus with a circumnuclear star-forming ring and is thus the ideal local laboratory for investigating the starburst---AGN connection in detail. We present integral-field observations of the central 1.3 kpc region in NGC 7469 obtained with the JWST Mid-InfraRed Instrument. Molecular and ionized gas distributions and kinematics at a resolution of ~100 pc over the 4.9-7.6 μm region are examined to study the gas dynamics influenced by the central AGN. The low-ionization [Fe II] λ5.34 μm and [Ar II] λ6.99 μm lines are bright on the nucleus and in the starburst ring, as opposed to H2 S(5) λ6.91 μm, which is strongly peaked at the center and surrounding ISM. The high-ionization [Mg V] line is resolved and shows a broad, blueshifted component associated with the outflow. It has a nearly face-on geometry that is strongly peaked on the nucleus, where it reaches a maximum velocity of -650 km/s, and extends about 400 pc to the east. Regions of enhanced velocity dispersion in H2 and [Fe II] ~180 pc from the AGN that also show high L(H2)/L(PAH) and L([Fe II])/L(Pfα) ratios to the W and N of the nucleus pinpoint regions where the ionized outflow is depositing energy, via shocks, into the dense interstellar medium between the nucleus and the starburst ring. These resolved mid-infrared observations of the nuclear gas dynamics demonstrate the power of JWST and its high-sensitivity integral-field spectroscopic capability to resolve feedback processes around supermassive black holes in the dusty cores of nearby luminous infrared galaxies.
GOALS-JWST: Hidden Star Formation and Extended PAH Emission in the Luminous Infrared Galaxy VV 114
Evans, A.S., et al. 2022, ApJL, 940, L8
James Webb Space Telescope (JWST) Mid-Infrared Instrument (MIRI) images of the luminous infrared (IR) galaxy VV 114 are presented. This redshift ∼0.020 merger has a western component (VV 114W) rich in optical star clusters and an eastern component (VV 114E) hosting a luminous mid-IR nucleus hidden at UV and optical wavelengths by dust lanes. With MIRI, the VV 114E nucleus resolves primarily into bright NE and SW cores separated by 630 pc. This nucleus comprises 45% of the 15 μm light of VV 114, with the NE and SW cores having IR luminosities of 8x1010 and ∼ 5x1010 Lsun, respectively, and IR luminosity densities of 2x1013 and 7x1012 Lsun/ kpc2, respectively—in the range of the Orion star-forming core and the nuclei of Arp 220. The NE core, previously speculated to have an active galactic nucleus (AGN), has starburst-like mid-IR colors. In contrast, the VV 114E SW core has AGN-like colors. Approximately 40 star-forming knots with LIR ∼ 0.02–5 ×1010 Lsun are identified, 28% of which have no optical counterpart. Finally, diffuse emission accounts for 40%–60% of the mid-IR emission. Mostly notably, filamentary polycyclic aromatic hydrocarbon (PAH) emission stochastically excited by UV and optical photons accounts for half of the 7.7 μm light of VV 114. This study illustrates the ability of JWST to detect obscured compact activity and distributed PAH emission in the most extreme starburst galaxies in the local universe.
Characterizing Compact 15-33 GHz Radio Continuum Sources in Local U/LIRGs
Song, Y., et al. 2022, ApJ 940, 52.
We present the analysis of ∼100 pc-scale compact radio continuum sources detected in 63 local (Ultra) Luminous Infrared Galaxies (U/LIRGs) using FWHM ≲0.1−0.2'' resolution 15 and 33 GHz observations with the Karl G. Jansky Very Large Array. We identify a total of 133 compact radio sources with effective radii of 8 - 170pc, which are classified into four main categories -- "AGN" (AGN), "AGN/SBnuc" (AGN-starburst composite nucleus), "SBnuc" (starburst nucleus) and "SF" (star-forming clumps) -- based on ancillary datasets and the literature. We find that "AGN" and "AGN/SBnuc" more frequently occur in late-stage mergers and have up to 3 dex higher 33 GHz luminosities and surface densities compared with "SBnuc" and "SF", which may be attributed to extreme nuclear starburst and/or AGN activity in the former. Star formation rates (SFRs) and surface densities ( ΣSFR) are measured for "SF" and "SBnuc" using both the total 33 GHz continuum emission (SFR ∼0.14−13 M⊙/yr, ΣSFR∼13−1600 M⊙ /yr/kpc^2) and the thermal free-free emission from HII regions (median SFR-th ~ 0.4 M⊙/yr, ΣSFR-th ~ 44 M⊙/yr/kpc^2). These values are 1 - 2 dex higher than those measured for similar-sized clumps in nearby normal (non-U/LIRGs). The latter also have much flatter median 15 - 33 GHz spectral index ( ~ −0.08) compared with "SBnuc" and "SF" ( ~ −0.46), which may reflect higher non-thermal contribution from supernovae and/or ISM densities in local U/LIRGs that directly result from and/or lead to their extreme star-forming activities on 100pc scales.
Tracing the Ionization Structure of the Shocked Filaments of NGC 6240
Medling, et al. 2021 ApJ, 923, 160
We study the ionization and excitation structure of the interstellar medium in the late-stage gas-rich galaxy merger NGC 6240 using a suite of emission line maps at ∼25 pc resolution from the Hubble Space Telescope, Keck NIRC2 with Adaptive Optics, and ALMA. NGC 6240 hosts a superwind driven by intense star formation and/or one or both of two active nuclei; the outflows produce bubbles and filaments seen in shock tracers from warm molecular gas (H2 2.12μm) to optical ionized gas ([O III], [N II], [S II], [O I]) and hot plasma (Fe XXV). In the most distinct bubble, we see a clear shock front traced by high [O III]/Hβ and [O III]/[O I]. Cool molecular gas (CO(2-1)) is only present near the base of the bubble, towards the nuclei launching the outflow. We interpret the lack of molecular gas outside the bubble to mean that the shock front is not responsible for dissociating molecular gas, and conclude that the molecular clouds are partly shielded and either entrained briefly in the outflow, or left undisturbed while the hot wind flows around them. Elsewhere in the galaxy, shock-excited H2 extends at least ∼4 kpc from the nuclei, tracing molecular gas even warmer than that between the nuclei, where the two galaxies’ interstellar media are colliding. A ridgeline of high [O III]/Hβ emission along the eastern arm aligns with the south nucleus’ stellar disk minor axis; optical integral field spectroscopy from WiFeS suggests this highly ionized gas is centered at systemic velocity and likely photoionized by direct line-of-sight to the south AGN.
Figure caption: Map of the H-alpha + [NII] with schematic identification of the filamentary and bubble features discussed in the paper.
Massive Star Cluster Formation and Destruction in Luminous Infrared Galaxies in GOALS II: An ACS/WFC3 Survey of Nearby LIRGs
Linden, S., et al. 2021, ApJ, 923, 278
By examining the age distribution functions for inner- and outer-disk star clusters in our LIRG sample a striking result emerges. The SSCs classified as inner-disk (N = 206) show a distribution slope of -1.1 +/- 0.11, whereas SSCs found in the outer-disk (N = 523) have a distribution slope of -0.3 +/- 0.12 . The outer-disk value is generally consistent with the results for M83 presented in Adamo & Bastian (2015), which is a prototypical spiral galaxy in the local Universe. Ultimately, we find that the disruption timescale due to collisions with passing GMCs can be short enough to affect the age distribution of clusters with t < 1 Gyr in the central regions of LIRGs, where the ISM gas density can be several orders of magnitude larger than what is observed in normal spiral galaxies. Qualitatively, this difference corresponds to an increase in mass-dependent cluster disruption, where long-term cluster evolution in the inner-disks of LIRGs is primarily influenced by the external tidal field and ISM density within the galaxy. Over time this results in a significant population of old massive clusters which have survived the progressive increase in the destruction of lower-mass clusters throughout the course of the merger.
A hard X-ray view of Luminous and Ultra-luminous Infrared Galaxies in GOALS: I - AGN obscuration along the merger sequence
Ricci, et al. 2021 MNRAS, 506, 5935
The merger of two or more galaxies can enhance the inflow of material from galactic scales into the close environments of active galactic nuclei (AGNs), obscuring and feeding the supermassive black hole (SMBH). Both recent simulations and observations of AGN in mergers have confirmed that mergers are related to strong nuclear obscuration. However, it is still unclear how AGN obscuration evolves in the last phases of the merger process. We study a sample of 60 luminous and ultra-luminous IR galaxies (U/LIRGs) from the GOALS sample observed by NuSTAR. We find that the fraction of AGNs that are Compton thick (CT; NH ≥1024cm−2) peaks at 74 (+14 −19) % at a late merger stage, prior to coalescence, when the nuclei have projected separations (dsep) of 0.4–6 kpc. A similar peak is also observed in the median NH [(1.6±0.5)×1024cm−2]. The vast majority (85 (+7−9) %) of the AGNs in the final merger stages (dsep ≲ 10 kpc) are heavily obscured (NH ≥1023cm−2), and the median NH of the accreting SMBHs in our sample is systematically higher than that of local hard X-ray-selected AGN, regardless of the merger stage. This implies that these objects have very obscured nuclear environments, with the NH ≥1023cm−2 gas almost completely covering the AGN in late mergers. CT AGNs tend to have systematically higher absorption-corrected X-ray luminosities than less obscured sources. This could either be due to an evolutionary effect, with more obscured sources accreting more rapidly because they have more gas available in their surroundings, or to a selection bias. The latter scenario would imply that we are still missing a large fraction of heavily obscured, lower luminosity (L2−10≲1043ergs−1) AGNs in U/LIRGs.
Figure caption: Fraction of CT (NH > 1024 cm−2 ; top panel) and heavily obscured (NH > 1023 cm−2 ; bottom panel) AGN vs the projected separation between the two nuclei for the sample of GOALS AGN observed by NuSTAR. The fraction of heavily obscured sources is higher than Swift/BAT AGN (red continuous line; Ricci et al. 2015, 2017c), and a tentative peak in the fraction of CT AGN is found at a separation of a few kpc.
A Comparison between Nuclear Ring Star Formation in LIRGs and in Normal Galaxies with the Very Large Array
Song, et al. 2021 ApJ, 916, 73
Nuclear rings are excellent laboratories for studying intense star formation. We present results from a study of nuclear star-forming rings in five nearby normal galaxies from the Star Formation in Radio Survey (SFRS) and four local LIRGs from the Great Observatories All-sky LIRG Survey at sub-kiloparsec resolutions using Very Large Array high-frequency radio continuum observations. We find that nuclear ring star formation (NRSF) contributes 49%–60% of the total star formation of the LIRGs, compared to 7%–40% for the normal galaxies. We characterize a total of 57 individual star-forming regions in these rings, and find that with measured sizes of 10–200 pc, NRSF regions in the LIRGs have star formation rate (SFR) and ΣSFR up to 1.7 M⊙ yr−1 and 402 M⊙ yr−1 kpc−2, respectively, which are about 10 times higher than in NRSF regions in the normal galaxies with similar sizes, and comparable to lensed high-z star-forming regions. At ∼100–300 pc scales, we estimate low contributions (< 50%) of thermal free–free emission to total radio continuum emission at 33 GHz in the NRSF regions in the LIRGs, but large variations possibly exist at smaller physical scales. Finally, using archival sub-kiloparsec resolution CO (J = 1–0) data of nuclear rings in the normal galaxies and NGC 7469 (LIRG), we find a large scatter in gas depletion times at similar molecular gas surface densities, which tentatively points to a multimodal star formation relation on sub-kiloparsec scales.
Figure caption: Fraction of total star formation rate contributed by the nuclear ring (SFRring/SFRtot) with respect to the infrared luminosity (LIR) of the host galaxy. Squares and triangles represent normal galaxies and LIRGs, respectively. Nuclear rings in the four LIRGs that we study consistently contribute to higher fractions of the total SFR of their host galaxies than nuclear rings in all the five normal galaxies in the sample. Overall, SFRring/SFRtot also seems to increase with higher LIR of the host galaxy, which is in line with studies that found more centrally concentrated emission in local galaxies with higher LIR (Díaz-Santos et al. 2010, 2011).
Regulating Star Formation in Nearby Dusty Galaxies: Low Photoelectric Efficiencies in the Most Compact Systems
McKinney, J., et al. 2021, ApJ, 908, 238
We combine mid-IR Spitzer/IRS spectroscopy of Polycyclic Aromatic Hydrocarbon (PAH) emission with observations of [C II] 157 um, [O I] 63 um, and [Si II] 35 um in GOALS to measure the photoelectric heating efficiency: the fraction of energy in stellar photons that gets transferred into the gas relative to the dust. We find that the photoelectric heating efficiency drops for more compact systems as the mean radiation field strength rises, and the average properties of the dust grains responsible for photoelectric heating change. This implies that less energy is transferred from UV stellar photons into the gas containing the ions. Low photoelectric efficiencies may raise the efficiency of star-formation by mitigating radiative feedback from hot, young stars into their surrounding nebular envelopes of neutral gas and dust. We explore ways to investigate the heating conditions of the dusty ISM at earlier cosmic epochs.
Figure caption: The ratio of gas cooling via strong IR fine-structure lines to photoelectric heating, as measured by PAH emission, vs. the IR surface density. The most compact galaxies exhibit low ([C II] + [O I] + [Si II])/PAH ratios, indicative of a low photoelectric efficiency. These systems also have strong radiation fields (G) relative to the neutral hydrogen density. Such conditions are capable of changing the properties of dust grains (size and charge) in ways consistent with lower photoelectric efficiencies.
Star-forming Clumps in Local Luminous Infrared Galaxies
Larson, K., et al. 2020, ApJ, 888, 92
We present HST narrowband near-infrared imaging of Paα and Paβ emission of 48 local luminous infrared galaxies (LIRGs) from the Great Observatories All-Sky LIRG Survey (GOALS). These data allow us to measure the properties of 810 spatially resolved star-forming regions (59 nuclei and 751 extranuclear clumps) and directly compare their properties to those found in both local and high-redshift star-forming galaxies. We find that in LIRGs the star-forming clumps have radii ranging from ∼90 to 900 pc and star formation rates (SFRs) of ∼1 × 10−3 to 10 M☉ yr−1, with median values for extranuclear clumps of 170 pc and 0.03 M☉ yr−1. The detected star-forming clumps are young, with a median stellar age of 8.7 Myr, and have a median stellar mass of 5 × 105 M☉. The SFRs span the range of those found in normal local star-forming galaxies to those found in high-redshift star-forming galaxies at z = 1-3. The luminosity function of the LIRG clumps has a flatter slope than found in lower-luminosity, star-forming galaxies, indicating a relative excess of luminous star-forming clumps.
Figure caption: The clump SFR as a function of size for GOALS galaxies (gray) for both nuclear and extra-nuclear clumps, where the nuclear clumps are marked with a red box, compared to clumps from Livermore’s 2012, 2015 lensed sample (triangles) and local z=0 SINGS galaxies (black circles). The lensed clump sample is divided into three redshift bins of 1.0 < z < 1.5 in purple, 1.5 < z < 3 in green, and z> 3 in blue. The lines are constant surface brightness fits to the four redshift bins. The sizes and SFRs of the clumps in GOALS galaxies span the range between regions found in local normal galaxies and those seen at higher redshifts. Large and luminous star-forming clumps, similar to those seen at high-redshift, are found in the lo- cal Universe in LIRGs.
A Hard X-Ray Test of HCN Enhancements as a Tracer of Embedded Black Hole Growth
Privon, G., et al. 2020, ApJ, 894, 149
The HCN molecule has been variously linked to the dense (star-forming) gas in galaxies and to the existence of ongoing SMBH accretion. We test the use of HCN as method of identifying buried AGN by using NuSTAR observations to probe for hard X-ray excesses in systems with discrepant millimeter and mid-infrared diagnostics. The X-ray observations do not identify any energetically dominant AGN associated with the previously observed HCN enhancements. This indicates that HCN enhancements are not a robust method of identifying current SMBH accretion. We further assemble a literature sample of objects with both HCN/HCO+ measurements and hard X-ray measurements to search for any correlation of the (sub)millimeter line ratios with the AGN's bolometric importance. We find no evidence of a significant correlation, suggesting that the HCN/HCO+ line ratio is unconnected to the present day BH growth rate.
Figure caption: The global ratio of HCN/HCO+ in a sample of galaxies with NuSTAR hard X-ray measurements of the AGN strength. The x-axis shows the 3-24 keV luminosity divided by the IR luminosity. The upper x-axis shows the corresponding AGN bolometric fraction. There is no evidence for correlations between any of the HCN/HCO+ line ratios and the AGN fraction.
A Very Large Array Survey of Luminous Extranuclear Star-forming Regions in Luminous Infrared Galaxies in GOALS
Linden,S., et a. 2019, ApJ, 881, 70
We have presented the first results of a high-resolution VLA survey for 25 luminous infrared galaxies (LIRGs) in the Great Observatories All-Sky LIRG Survey (GOALS). Radio emission provides a critical, optically-thin view on the massive star formation activity within deeply embedded HII regions, and it tracks nonthermal emission from relativistic cosmic rays associated with recent supernova in galaxies. The median 3-33 GHz spectral index and thermal fraction at 33 GHz suggest that on kpc-scales extranuclear star-forming regions in LIRGs have flatter radio spectral slopes, and are much more heavily-dominated by thermal free-free emission relative to the centers of local ULIRGs. Further, when we use these results to place our regions on the resolved star-formation rate main sequence (SFMS), we find that these regions they are not consistent with their host galaxies' globally-averaged specific star-formation rate (sSFR), indicating that the nuclear starburst activity predominately drives LIRGs above the SFMS.
Figure caption: The measured 33 GHz thermal fraction values for all extranuclear regions identified in the GOALS sample. The median fraction is 65 +/-11 %. This value is in good agreement with estimates of the thermal fraction made for star-forming regions in normal star-forming galaxies in the SFRS on the same physical scales (Murphy et al. 2012a, 2018a), and distinctly larger than integrated observations of ULIRGs in Barcos-Munoz et al. (2017).
Keck OSIRIS AO LIRG Analysis (KOALA): Feedback in the Nuclei of Luminous Infrared Galaxies
U, V., et a. 2019, ApJ, 871, 166The Keck OSIRIS AO LIRGs Analysis Survey focuses on quantifying the distributions and kinematics of stars and gas in the inner kiloparsec regions of nearby GOALS galaxy mergers systematically at 30-40 pc resolution. In this latest survey paper, we found small-scale jets associated with shocked molecular gas residing preferentially in ultraluminous systems, and that shock heating is not strictly driven by AGN strength even at circumnuclear scales. We also quantified the enhancement in nuclear SFR as galaxies progressed in the merger sequence. These insights advance our understanding of the interplay among stars, gas, and black holes through a resolved study of the feeding and feedback processes in (U)LIRGs.
Figure caption: Dust-corrected nuclear SFR and nuclear SFR surface density as a function of galaxy-integrated global infrared luminosity, merger class, and nuclear separation). The correlation between nuclear SFR and merger stage (or the anticorrelation between nuclear SFR and nuclear separation) offers evidence for merger-induced starbursts in the central kiloparsec regions.
Evidence for Mechanical Heating Driving Abundance Variations in Dense Molecular Gas Tracers
Privon, G., et al. 2017, ApJ, 835, 213
We present ALMA Band 7 observations of the ULIRG IRAS 13120-5453 in the 4-3 transitions of the molecular gas tracers HCN and HCO+. We find a central enhancement in the HCN/HCO+ ratio but no evidence for radiative pumping of the HCN molecule.Using the detection of the sub-mm continuum emission as the size for the starburst, we argue the implied supernovae volume rate is consistent with mechanical heating driving an abundance enhancement in HCN, giving rise to the elevated HCN/HCO+ ratio. We also tentatively identify a slow outflow in HCN and HCO+, based on line wings and emission extending beyond the expectations for quiescent motion in a disk. However this outflow will not escape the system.
Figure caption: Spatially integrated line profiles for HCN (4-3) and HCO+ (4-3). The line wings identified as outflowing gas are highlighted in blue and green. Right: a position-velocity cut for HCN, taken along the major axis of the disk. The solid white line denotes the best-fit disk model and the dashed lines mark the "virial range", considering the disk rotation, dispersion, and some range of non-circular in-disk motions. The emission between the outer red lines is classified as outflowing, as it exceeds the expected velocity for gas in the disk.
Unobscured Nuclear View of the Most Luminous Local U/LIRGs
Barcos-Muñoz, L., et al. 2017, ApJ, 843, 117
Figure caption: In this figure we compare the observed infrared surface brightness obtained using half of the infrared luminosity of the system and the half light area measured at 33 GHz, to the expected Eddington flux times the gas fraction. The horizontal lines show different Eddington limits for different gas fractions. The solid black points consider SNe feedback in the Eddington limit calculation and the open red circles do not. In half of our sample SNe feedback is important, while half of the sample shows super Eddington values for gas fractions of 1.
NuSTAR Reveals Enshrouded Supermassive Black Holes in Merging Galaxies
Mergers of galaxies are thought to cause significant gas inflows to the inner parsecs, which can activate rapid accretion onto supermassive black holes (SMBHs). During a significant fraction of this process SMBHs are predicted to be enshrouded by gas and dust. We explored the evolution of X-ray obscuration during mergers by studying 52 galactic nuclei from the GOALS sample with NuSTAR. We found that the fraction of the most heavily obscured active galactic nuclei (AGN) in late merger galaxies is higher than in objects in isolated galaxies, and that obscuration reaches its maximum when the nuclei of the two merging galaxies are at a projected distance of ~ 0.4-10.8 kiloparsecs. These observations show that the material is most effectively funnelled from the galactic scales to the inner tens of parsecs during the late stages of galaxy mergers, and that the close environments of SMBHs in advanced mergers is richer in gas and dust with respect to that of SMBHs in isolated galaxies. PRESS Release.
Figure caption: Cumulative column density (NH) distribution for AGN in early (blue dashed line) and late-merger (orange continuous line) galaxies. For comparison we also show the cumulative intrinsic NH distribution of local, mostly non-merging Swift/BAT AGN (purple dotted line) from Ricci et al. (2015). The plot shows that: i) AGN in late mergers are systematically more obscured than those in early mergers and Swift/BAT AGN; ii) all AGN in late mergers have column densities > 1e23 cm^-2 , which implies that they are almost completely surrounded by material with NH > 1e23 cm^-2.
The Physical Properties of the Interstellar Medium in LIRGs Revealed by Herschel
We obtained Herschel/PACS spectroscopy of the main FIR fine-structure emission lines for a sample of ~240 galaxies in GOALS. We combined these observations with Herschel/SPIRE and MIR Spitzer/IRS spectroscopic data to derive the main physical characteristics of the neutral and ionized gas in dense PDRs and HII regions and provide a comprehensive view of the heating and cooling of the ISM as a function of galaxy-integrated properties. (Data Tables: Table 1- [OI], [OIII], [NII], [CII] line fluxes. Table 2- AGN fractions. IR luminosities and luminosity surface densities.)
Figure caption (left): Dissecting the scatter of the [CII] deficit. The [CII]/FIR ratio as a function of the FIR S63/S158 continuum ratio for the entire GOALS sample. The lines represent a diagnostic grid indicating different contributions of the PDR component to the total [CII] emission, f([CII]_PDR). The dashed line indicates a ~0% PDR fraction, [CII] = [CII]_ion. Additional increasing contributions of [CII]_PDR = [1, 3, 6, 9, 19] x [CII]_ion, are shown with dotted lines, from ~50% to 95\%. The data is color-coded as a function of f([CII]_PDR) as derived from the [CII]/[NII]205 ratio. This figure shows that LIRGs with higher f([CII]_PDR) show progressively smaller [CII] deficits at a given T_dust, indicating that while warmer LIRGs do in fact have larger [CII] deficits than normal star-forming galaxies, those with higher f([CII]_PDR) show less pronounced ones.
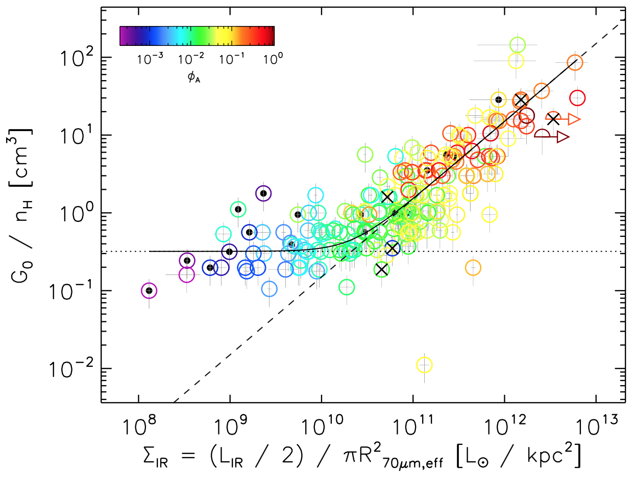
Figure caption (right): GOALS unveils a critical change in fundamental PDR conditions in LIRGs. The interstellar radiation field intensity to hydrogen density ratio, G0/n_H, as a function of the effective luminosity surface density, Sigma_IR, for the GOALS sample. The galaxies are color-coded as a function of the PDR area filling factor. Below Sigma_IR ~ 5 x 10^10 Lsun/kpc^2, G0/n_N remains constant, ranging between ~0.2-0.6 cm^3 (the dotted line shows the median value, 0.32 cm^3)., suggesting that the boosting in Sigma_IR is driven by a higher area filling factor, i.e., a larger number of star-forming regions per unit area. Above that threshold, G0/n_H increases linearly with Sigma_IR (dashed line; where G0/n_H [cm^3] = 1.5 x 10^-11 x Sigma_IR [Lsun/kpc^2]) signaling a departure from the typical PDR conditions found in normal star-forming galaxies towards more intense/harder radiation fields and compact geometries typical of starbursting sources.
Formation and Destruction of Massive Star Clusters in LIRGS
We have used the Hubble Space Telescope to identify and characterize 484 star clusters in a sample of 22 Luminous Infrared Galaxies (LIRGs) in GOALS. By applying simple stellar population models (SSPs) we can derive ages, masses, and extinctions for every cluster, and compare their bulk properties to cluster populations observed in other nearby galaxies. The derived cluster ages imply a disruption rate of dN/dt = t^-0.9 for cluster masses greater than 10^6 M_sun. This is steeper than what is measured for a variety of lower-luminosity, star-forming galaxies in the local Universe, implying that clusters which form in LIRGs are affected by fundamentally different cluster disruption mechanisms. We believe the main driver of this is the fact that the majority of LIRGs are actually galaxies in the process of interacting and merging. These violent environments are able to destroy star clusters more eaisly, and could help to explain the observed truncation in globular cluster mass functions (GCMFs) in giant elliptical galaxies (thought to be the end product of a gas-rich major merger).
Figure Caption: The stacked cluster age distribution functions for all 22 LIRGs (27 nuclei). We have broken our total age distribution up into two age-mass ranges shown in black and red, and the lines represent weighted linear least squares fits to these two data bins. The blue, green, and yellow age functions of the LMC, M83, and the Antennae respectively, are taken from Adamo & Bastian 2016, and are normalized to the total number of clusters in our sample to best compare the slope for each galaxy.
Overmassive Black Holes or Massive Pileups of Molecular Gas?
Medling, A., et al. 2015, ApJ, 803, 61
Using the Keck/OSIRIS integral field spectrograph and adaptive optics, we model the kinematics of stars and gas in the nuclei of nearby gas-rich galaxy mergers to measure their central masses, which lie considerably above black hole scaling relations. Our measurements (colored symbols) produce dynamical masses of the central black holes plus whatever extra material may be buried beneath our resolution limit (~25 pc). If most of the central mass is in the black holes, our observations show that black holes grow early -- before the end stages of the galaxy merger and before signs of AGN activity kick in. Alternatively, we may be measuring an unseen pileup of molecular gas, waiting to accrete on to the black hole and/or to be entrained in any forthcoming massive molecular outflows.



















